Ahoj, Ty ktorý čítaš túto stránku,
spísal som svoju
skúsenosť s rodinou Kviatkovských z Nitry,
ktorý založili a vybudovali firmu EKVIA s.r.o, aj
z peňazí svojich zamestnancov /vysvetlím nižšie/.
Pracoval som
v EKVII od roku 2003 najprv ako skladník potom ako ITčkár.
Od roku 2005 som
chodil na poplachy policajné, neskôr keď sa pridali tak aj požiarne
a poruchy technológií.
O tom, že za
výjazdy k poplachom v osobnom voľne prináleží mzda za neaktívnu časť
pracovnej pohotovosti som nevedel. Zistil som to neskôr.
V tom čase
boli Kviatkovský st. moji svokrovci a Kviatkovský ml. švagor.
Kontaktoval som teda právnika
Dobrý deň,
Mám problém
v pracovnom práve ohľadom pracovnej pohotovosti.
Mám pohotovosť /
aspoň si myslím že je to pracovná pohotovosť/nariadenú ústne, ktorú vykonávam
už niekoľko rokov okrem dovolenky a PN .
Chcem vedieť či
za tieto činnosti mám mať zaplatenú neaktívnu pracovnú pohotovosť.
Alarm
polícia /na zavolanie polície musím ísť na firmu otvoriť a spolu
z políciou skontrolovať budovu a som prvý v zozname komu polícia volá.
Alarm požiarny
poplachový systém / v prípade poplachu prísť a skontrolovať či horí
Alarm Poruchy
chladničiek / ak teplota v priemyselných chladničkách prekročí
kontrolovanú hodnotu vyhlási poplach kvôli možnému znehodnoteniu tovaru
Porucha servera
HW alebo SW
V podstate
nonstop na telefóne pripravený na výjazd na polícii som prvý v zozname.
V pracovnej
zmluve nie je o tom ani zmienka rovnako ani na výplatnej páske
žiadne vyčíslenie pracovnej pohotovosti. Jediná zmienka je v Podmienkach
poskytovania mzdy.
Toto je
v zákonníku práce:
§ 96 Zákonník práce
(1)
Ak zamestnávateľ
v odôvodnených prípadoch na zabezpečenie nevyhnutných úloh nariadi
zamestnancovi alebo sa s ním dohodne, aby sa mimo rámca rozvrhu pracovných
zmien a nad určený týždenný pracovný čas vyplývajúci z vopred určeného
rozvrhnutia pracovného času zdržiaval po určený čas na dohodnutom mieste
a bol pripravený na výkon práce podľa pracovnej zmluvy, ide
o pracovnú pohotovosť. Ak som to správne pochopil som doma
a čakám na poplach
(2) Čas, počas ktorého sa zamestnanec zdržiava na pracovisku a je pripravený na
výkon práce ale prácu nevykonáva, je neaktívna časť pracovnej pohotovosti,
ktorá sa považuje za pracovný čas.
(3) Za každú hodinu neaktívnej časti pracovnej pohotovosti na pracovisku
podľa odseku 2 patrí zamestnancovi mzda vo výške pomernej časti základnej
zložky mzdy, najmenej však vo výške minimálneho mzdového nároku ustanoveného v
§ 120 ods. 4 v eurách za hodinu pre prvý stupeň náročnosti práce. Ak sa
zamestnávateľ so zamestnancom dohodnú na poskytnutí náhradného voľna za
neaktívnu časť pracovnej pohotovosti na pracovisku, patrí zamestnancovi mzda
podľa prvej vety a za hodinu tejto pracovnej pohotovosti hodina náhradného
voľna; za čas čerpania náhradného voľna zamestnancovi mzda nepatrí.
(4) Čas, počas ktorého sa zamestnanec zdržiava na dohodnutom mieste mimo
pracoviska a je pripravený na výkon práce, ale prácu nevykonáva,
je neaktívna časť pracovnej pohotovosti, ktorá sa nezapočítava do
pracovného času.
(5) Za každú hodinu neaktívnej časti pracovnej pohotovosti mimo
pracoviska patrí zamestnancovi náhrada najmenej 20 % minimálneho mzdového
nároku ustanoveného v § 120 ods. 4 v eurách za hodinu pre prvý stupeň
náročnosti práce.
(6) Čas, keď zamestnanec počas pracovnej pohotovosti vykonáva prácu je aktívna
časť pracovnej pohotovosti, ktorá sa považuje za prácu nadčas.
(7) Pracovnú pohotovosť môže zamestnávateľ nariadiť najviac v rozsahu osem
hodín v týždni a najviac v rozsahu 100 hodín v kalendárnom roku.
Za odpoveď
ďakujem
Vyjadrenie môjho právnika
Dobrý deň,
Podľa § 96 o pracovnú pohotovosť ide ak ju
zamestnávateľ nariadi zamestnancovi alebo sa s ním dohodne, aby sa mimo rámca
rozvrhu pracovných zmien a nad určený týždenný pracovný čas vyplývajúci z
vopred určeného rozvrhnutia pracovného času zdržiaval po určený čas na
dohodnutom mieste a bol pripravený na výkon práce podľa pracovnej zmluvy, ide o
pracovnú pohotovosť.
Z toho
vyplýva že ide vo Vašom prípade o pracovnú pohotovosť, toto nemusí byť ani
uvedené v pracovnej zmluve a dokonca to nemusí mať ani písomnú formu,
podstatný je samotný výkon pracovnej pohotovosti.
Čas, počas
ktorého sa zamestnanec zdržiava na dohodnutom mieste mimo pracoviska (teda vo
Vašom prípade napr. doma) a je pripravený na výkon práce, ale prácu
nevykonáva, je neaktívna časť pracovnej pohotovosti, ktorá
sa nezapočítava do pracovného času. Napriek tomu za každú hodinu
neaktívnej časti pracovnej pohotovosti mimo pracoviska patrí
zamestnancovi náhrada najmenej 20 % minimálnej mzdy v eurách za hodinu
podľa osobitného predpisu.
S pozdravom,
JUDr. Jozef Jesenič
Potom som napísal
Potom som napísal
Kviatkovskému ml, že žiadam o vyplatenie dlžnej sumy
a vyplácanie pracovnej pohotovosti podľa zákonníka práce. Už tu som na
stretnutí obom Kviatkovským ml aj st povedal,
že kolega túto prácu vykonával v Banke a mal za ňu vyplácanú pracovnú
pohotovosť, nech si to overia.
Vyjadrenie zamestnávateľa
Posielam
vyjadrenie právnika k tvojmu podnetu:
Podľa § 96
Zákonníka práce o pracovnú pohotovosť ide v prípade, ak sa zamestnanec v čase
mimo svojej pracovnej doby zdržiava po určený čas na dohodnutom
mieste a je pripravený na výkon práce podľa pracovnej zmluvy.
Podľa vášho
vyjadrenia nie je presne určený čas a ani dohodnuté miesto, kde sa má
zdržiavať. Nie je určený ako jediná kontaktná osoba a činnosť (napr. otvorenie
dverí polícii, kontrola objektu) nie sú výkonom jeho práce. V tomto prípade
nejde pripravenosť zamestnanca na výkon práce podľa pracovnej zmluvy po určený
čas.
Podľa § 178 ods.
2 ZP ak je na odvrátenie škody hroziacej zamestnávateľovi neodkladne potrebný
zákrok, je zamestnanec povinný zakročiť. Upozornenie SMS na alarm je v podstate
upozornenie na hroziacu škodu a výjazd zamestnanca je odvrátením hroziacej
škody na majetku zamestnávateľa.
Za konkrétny
výjazd je možné dohodnúť so zamestnancom konkrétnu odmenu príp. zahrnúť do
pracovnej náplne výjazd po prijatí SMS o hlásení alarmu a odmena za výjazd by
bola zahrnutá v mesačnej mzde.
Porucha servera
HW alebo SW - ak zamestnanec má v pracovnej náplni odstraňovanie porúch servera
a musel by ísť odstrániť konkrétnu poruchu v tomto prípade by to bola
práca nadčas nie pracovná pohotovosť. Odmena za túto činnosť môže byť
zahrnutá v mzde (v pracovnej náplni uvedené odstraňovanie porúch aj mimo
pracovnej doby - napr. zabezpečenie bezporuchovej prevádzky servera vrátane
výjazdov po pracovnej doby) alebo náhrada mzdy za nadčas (pri konkrétnej
oprave). Podstatné je o akú poruchu sa jedná.
Podľa ustanovenia
§ 82 písm. f) ZP je vedúci zamestnanec povinný zabezpečovať prijatie včasných a
účinných opatrení na ochranu majetku zamestnávateľa. Výjazd vedúceho
zamestnanca pri zapnutí alarmu patrí medzi jeho základné zákonné povinnosti a
odmena za výjazd je súčasťou dohodnutej mesačnej mzdy.
Odpoveď môjho právnika na tento paškvil
Už iba stručne:
Pokiaľ nemáte
v pracovnej zmluve žiadnu z týchto činností, tak ich nemáte ani prečo
vykonávať. Ak máte v pracovnej zmluve povinnosť zdržiavať sa v mieste
bydliska v čase od... do ....pre prípad, potreby otvorenia objektu, ide
o pracovnú pohotovosť.
Mimo pracovného
času nie ste povinný vykonávať pracovné úlohy a reagovať na SMS a telefonáty
zamestnávateľa. Pokiaľ Vám príde SMS, že treba vykonať otvorenie objektu, tento
pracovný úkon si splníte počas pracovnej doby. Nie ste zodpovedný za škody
ktoré sú zamestnávateľovi spôsobené, ak nie ste zároveň aj strážcom
objektu. Povinnosť odvrátiť nebezpečenstvo máte ak ste na pracovisku,
alebo k nemu dôjde počas pracovnej doby.
Nasledovné
znenie nie je pravda: „Podľa ustanovenia § 82 písm. f) ZP
je vedúci zamestnanec povinný zabezpečovať prijatie včasných a účinných
opatrení na ochranu majetku zamestnávateľa. Výjazd vedúceho zamestnanca
pri zapnutí alarmu patrí medzi jeho základné zákonné povinnosti a
odmena za výjazd je súčasťou dohodnutej mesačnej mzdy.“
Stretnutie právnikov
Po tom prišlo ku
stretnutiu právnikov u Jurovatého, kde sa právnici
zhodli na tom, že sa jedná o pracovnú pohotovosť a Kviatkovský
ml si mohol vybrať
1. vyplácať
pracovnú pohotovosť zamestnancom
2. nepožadovať od
zamestnancov túto prácu.
Čo si myslíte ako to vyriešil tento hlboko veriaci
katolík?
Kviatkovský ml mi poslal dokument Dohodu o urovnaní, v ktorom mi
chcel ukradnúť 70€ zo mzdy ktoré mi nevyplácal s čím som nesúhlasil a túto
zlodejinu som mu nepodpísal. To mu ale nebránilo k tomu,
aby obišiel s manželkou zamestnancov, ktorý na poplachy chodili a
podobnú zlodejinu, ktorú dal mne dali podpísať im a oberali ich
o peniaze každý mesiac, ktoré im predtým nikdy nevyplácali a samozrejme
nevyplácali pracovnú pohotovosť, nezapísal túto prácu do pracovných zmlúv
či iných písomností.
Vyhýbanie sa Kviatkovským
Nakoľko som
sa vyhýbal Kviatkovským
vo svojom voľnom čase, tak sa im to nepáčilo.
Kviatkovská st. a Kviatkovský st. mne a
mojej mame robili zle, stará na moje meniny k nám prišla s penou na papule a
jačala na mňa u nás v altánku, čo si to k nim dovoľujem, ako sa to k
nim správam, prečo sa k nim správam ako k hovnu v tráve, že sa im
vyhýbam, na nič nemám nárok, robím si neoprávnené nároky na domnelú
pracovnú pohotovosť, nič mi nedlžia, nič
vyplácať nemusia a ani nebudú veď ona je právnička a nie
hocaká ale podniková právnička, ona to predsa musí vedieť. Veď oni sú hlboko
veriaci boli u Pápeža na audiencii, majú plaketu v kostole oni predsa
nemôžu byť zlodeji. K tomu len toľko „ pod lampou je najväčšia tma“.
To som, ale
nevedel, že jej jej milovaný syn zatajil, že je zlodejka, ktorá
nevyplácala pracovnú pohotovosť 20 rokov a že sa rozhodol ísť v jej šľapajach.
/je mi jedno či okrádala zamestnancov úmyselne, alebo preto, že bola klobásková právnička/
Keď tá lúza začala robiť zle mojej mame, votreli sa po oslave 70
narodenín k mojej mame a začali na
mňa kydať pričom moja mama má slabé srdce a rozrušilo ju to. Keď mi to
mama povedala tak som vzal mamu ku starej Kviatkovskej
jebol som jej do ksichtu zápisnicu od Jurovatého a nakričal som na ňu čo si to dovoľuje voči mojej
mame a voči mne.
To ste mali vidieť
ako tá mrcha menila farby, ako semafor keď to čítala.
Nevedela o tom,
lebo jej syn jej to zatajil a tak sme šli domov. Kviatkovská
si nás zavolala, že s nami chce hovoriť tak sme k nim išli. Boli sme tam Kviatkovská st., Kviatkovský st, Kviatkovský ml. moja mama a
ja. Stará začala, že ona je hlboko presvedčená, že chodiť na poplachy nie je pracovná
pohotovosť, ale ona ju vyplácala len nevie ako, nevie komu, nevie koľko, a vlastne
to ani nevie dokázať ale
vyplácala to. / zaujímavé je, že dovtedy som si robil neoprávnené
nároky na domnelú pracovnú pohotovosť, na nič nemám nárok, nič mi nedlžia, nič
vyplácať nebudú..................a zrazu to vyplácala si robí srandu a ako
na potvoru to nevie dokázať, koniec koncov jej klamstvo potvrdil Inšpektorát
práce nakoľko pracovnú pohotovosť nevyplácali/
Kviatkovský ml. si sypal popol na hlavu lebo si to u
právnika pamätal opačne /samozrejme že klamal/.
Starý na mňa
jačal, že čo chcem veď u nich zarábam nadštandardnú zaťkovskú
mzdu a samozrejme nezabudol dodať, že kolega ktorý mi o pracovnej
pohotovosti povedal bude držať hubu, lebo jeho mama pred ním na kolenách
kľačala a prosila ho aby jej syna vzal do práce.
Už pri prvom
stretnutí sa im mala v hlave rozsvietiť žiarovka, že prečo túto mzdu Banka
vypláca a oni nie, čo si mysleli že Kviatkovská
st. je lepšia právnička ako zamestnávajú právnikov banky? A samozrejme za kolegom
nešli, aby si overiť či dostával v Banke za poplachy mzdu./ veď načo oni
predsa všetko vedia, alebo už dávno vedeli, že zamestnancov okrádajú, tak si
nepotrebovali potvrdiť že sú zlodeji/
K tej zaťkovskej mzde, keď som začal pracovať v BA ako štátny
zamestnanec mal som o 1/2 vyšší plat ako ich zaťko, vykonával som len jednu
prácu a nie 5 ako u nich, tak len toľko ku zaťkovskej
mzde ktorou sa Kviatkovský st. vystatoval.
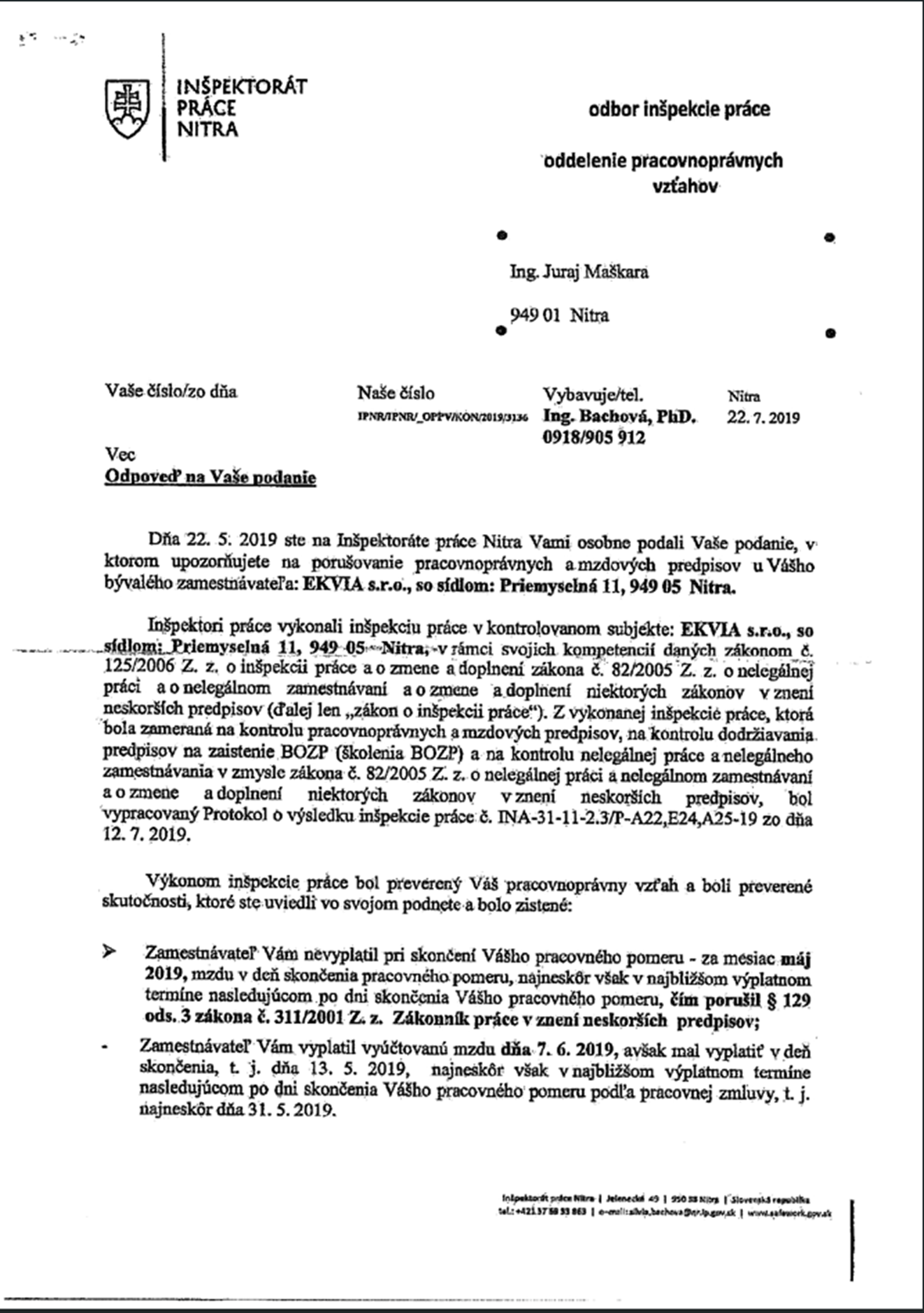
Prvá kontrola Inšpektorátu práce
S tým sme sa
rozišli a nenavštevovali sme ich. Keď bola oslava u nich nešiel som tam,
keď u nás nebol som doma. Ja svoj čas tráviť s domnelými katolíkmi zato
zlodejmi, klamármi a podvodníkmi nebudem. Keď ma prepustili z práce šiel
som na inšpektorát práce nech idú do EKVIE na kontrolu pracovnej pohotovosti,
ktorú zamestnanci vykonávajú.
Kviatkovský ml. oklamal inšpektorát práce, že si takú prácu so
zamestnancami nedohodol a predložil všetky písomnosti, ktoré Inšpektorát práce
chcel, nebál sa pretože to nezapisoval nik z nich Kviatkovských
do žiadnej zmluvy, dohody, výplatných pások a mzdové podmienky ako na
potvoru zmizli z násteniek.
Po skončení
kontroly rozhodol Inšpektorát práce, že som si všetko vymyslel a moja žena po
mne chcela, aby som sa išiel jej rodine ospravedlniť, lebo som klamár a nemám
na nič nárok.
Tak som jej
povedal, že to dám inak do poriadku. Na to ma začala vydierať, že keď znova
udám jej rodinu tak sa so mnou rozvedie a o všetko ma pripraví.
Druhá kontrola Inšpektorátu práce
Šiel som teda na
inšpektorát práce s tým, že nesúhlasím z ich rozhodnutím. Povedali mi, že musím
dokázať, že som chodil na poplachy. Tak som im povedal nech teda spolupracujú s
políciou nakoľko všetky objekty EKVIE sú napojené na pult ochrany polície a tá
má zmluvy, kontaktné osoby, záznamy z výjazdov k poplachom, aký bol poplach,
kto na ňom bol, kedy bol, proste všetko čo potrebujú má polícia.
Zároveň som podal
trestné oznámenie na EKVIU s.r.o. nakoľko
nevyplácanie mzdy, náhrady mzdy a odstupného je trestný čin.
§ 214 Nevyplatenie
mzdy a odstupného
(1)
Kto ako štatutárny orgán právnickej osoby alebo fyzická osoba, ktorá je
zamestnávateľom, alebo ich prokurista nevyplatí svojmu zamestnancovi mzdu, plat
alebo inú odmenu za prácu, náhradu mzdy alebo odstupné, na ktorých vyplatenie
má zamestnanec nárok, v deň ich splatnosti, hoci v tento deň mal peňažné
prostriedky na ich výplatu, ktoré nevyhnutne nepotreboval na zabezpečenie
činnosti právnickej osoby alebo činnosti zamestnávateľa, ktorý je fyzickou
osobou, alebo vykoná opatrenia smerujúce k zmareniu vyplatenia týchto peňažných
prostriedkov, potrestá sa odňatím slobody až na tri roky.
(2)
Odňatím slobody na jeden rok až päť rokov sa páchateľ potrestá, ak spácha čin
uvedený v odseku 1
a)
a spôsobí ním väčšiu škodu,
/
§
125 [Kategorizácia škody, výšky prospechu, hodnoty veci, rozsahu činu]
(1)
Škodou malou sa rozumie škoda prevyšujúca sumu 266 €. Škodou väčšou sa rozumie
suma dosahujúca najmenej desaťnásobok takej sumy čiže 2660 €. Značnou škodou
sa rozumie suma dosahujúca najmenej stonásobok takej sumy čiže 26600 €.
Škodou veľkého rozsahu sa rozumie suma dosahujúca najmenej päťstonásobok
takej sumy čiže 133000 €. Tieto hľadiská sa použijú rovnako na určenie výšky
prospechu, hodnoty veci a rozsahu činu.
(2)
Ak tento zákon v osobitnej časti vyžaduje v základnej skutkovej podstate
spôsobenie škody ako majetkový následok trestného činu a neuvádza jej výšku, má
sa za to, že musí byť spôsobená aspoň škoda malá.
b)
z osobitného motívu, alebo
c)
voči viac ako desiatim zamestnancom.
(3)
Odňatím slobody na tri roky až osem rokov sa páchateľ potrestá, ak
spácha čin uvedený v odseku 1 a spôsobí ním značnú škodu.
(4)
Odňatím slobody na sedem rokov až dvanásť rokov sa páchateľ potrestá, ak spácha
čin uvedený v odseku 1 a spôsobí ním škodu veľkého rozsahu.
Výsledok druhej kontroly
Pri druhej
kontrole Inšpektorátu práce si volali zamestnancov a pýtali sa ich či
vykonávajú výjazdy k poplachom v osobnom voľne. Mali totiž podklady
od polície ktoré hovorili jasne o vykonávanej práci.
Následne
konfrontovali Kviatkovského ml. z jeho lžou z predchádzajúcej
kontroly.
Druhá kontrola
potvrdila, že zamestnanci vykonávajú pracovnú pohotovosť, že rodina Kviatkovských oklamala Inšpektorát práce, nezapisovali
dohodnutú prácu do pracovných zmlúv nevyplácali za túto prácu mzdu a tým podviedli
a okrádali zamestnancov na mzde viac ako 26 rokov.
Kviatkovský museli vyplatiť čo ukradli zamestnancom, ale zo
zákona len posledné 3 roky a nie 26 rokov ako ich okrádali.
Polícia ukončila
moje oznámenie s tým, že skutok sa stal, ale nakoľko si svoju povinnosť
splnili a vyplatili 3 roky spätne, obvinený nebudú.
Výpočet mzdy za pracovnú pohotovosť za rok
2020
Aby ste si predstavili o aké peniaze
zamestnanci prichádzali tak Vám sem dávam výpočet mzdy za neaktívnu časť
pracovnej pohotovosti za rok 2020 bez
výjazdov.
Zákonník práce
Za každú hodinu neaktívnej časti pracovnej pohotovosti mimo
pracoviska patrí zamestnancovi náhrada najmenej 20% minimálnej mzdy v eurách za
hodinu podľa osobitného predpisu.
Hodinová mzda pre rok 2020 bola 3,333€
20% z 3,333 je 0,6666€
krát koeficient náročnosti práce z pracovnej zmluvy pre 3 stupeň čo
je 1,4 násobok / ja som mal 3 stupeň a predpokladám, že ho mal každý /
0,6666 * 1,4 = 0,93324 € za hodinu neaktívnej časti pracovnej
pohotovosti
Výpočet pre celý rok:
Rok 2020 mal 251 pracovných dní
251 dní *15 hodín = 3765hodín /po správnosti 15a ½/ 24-8a½= 15a ½h
366-251= 115 dní víkendov a sviatkov 115 * 24hodín = 2 760hodín
3765+2760= 6 525hodín
6 525 * 0,93324 = 6 089€ za rok na jedno pracovisko, je ich
ale 5 čo je cez 30 000€ ročne na neaktívnej časti pracovnej pohotovosti. Už
viete prečo som napísal, že vybudovali firmu aj z peňazí svojich
zamestnancov?
A to tu ešte nie je zahrnutý príplatok pri poplachu za prácu v sobotu v nedeľu
a vo sviatok.


Kto chce nech si vypočíta o koľko € pripravila rodina Kviatkovských svojich zamestnancov za najmenej 26 rokov.
Úvaha
Ako si môžu hlboko veriaci dohodnúť prácu so svojimi zamestnancami,
ktorú vykonávajú viac ako 15 hodín v pracovné dni a 24 hodín cez
víkendy a sviatky a nezapísať ju do pracovných zmlúv, dohôd,
nehovoriac o tom, že Kviatkovská st. bola
právničkou podnikovou právničkou to by mala Zákonník práce vedieť ako otčenáš?
Ako môžu hlboko veriaci oklamať Inšpektorát práce
a tvrdiť, že si túto prácu so zamestnancami nedohodli a tú prácu
u nich zamestnanci nevykonávajú a predložiť písomnosti v ktorých
podviedli zamestnancov a uvedenú prácu neobsahovali? Ale asi sa mýlim, ale
nekonajú takto zlodeji, klamári a podvodníci z úmyslom pokračovať
v okrádaní zamestnancov?
Sú to skutočne
veriaci alebo sa len pretvarujú.
Na záver
A tak som šťastne
rozvedený, očistil som svoje meno, zato rodina Kviatkovských
z Nitry sú boli a navždy zostanú zlodeji,
klamári a podvodníci a samozrejme domnelý hlboko veriaci
katolíci.
PS: ak si myslíte, že sa prišli aspoň ospravedlniť, alebo
nebodaj vyplatiť čo dlžia, tak Vás sklamem, rodina Kviatkovských
nemá úctu k ľuďom zato ju majú k peniazom o ktoré ľudí
pripravujú
S pozdravom
Juraj Maškara
A teraz zopár písomných faktov k tomu čo som tu
napísal
Podmienky poskytovania mzdy, ktoré ako na potvoru zmizli pri
kontrole Inšpektorátu práce z násteniek alebo aj skôr

Záznam zo stretnutia právnikov
Podpisy som zmazal kvôli GDPR

Dohoda o urovnaní, ktorú som nepodpísal
Dohoda o urovnaní
uzavretá v zmysle
ustanovenia § 32 Zákonníka práce v znení neskorších predpisov
Čl. I.
Zmluvné strany
1) Ing. Juraj
Maškara,
nar.:
14.1.1976,
bytom:
xxxxxxxxxxxxxxxxxxxxxxxxxx,
(ďalej
len „zamestnanec“)
2) EKVIA s.r.o.,
spoločnosť
zapísaná v Obchodnom registri Okresného súdu Nitra,
Odd.
Sro, Vložka č.: 1140/N,
so
sídlom: Priemyselná 11, 949 05 Nitra,
IČO:
31 426 085,
v zast. prokuristom: Ing. Emil Kviatkovský
(ďalej len „zamestnávateľ“)
Čl.II.
Predmet dohody
Predmetom tejto dohody je
urovnanie sporu medzi zamestnancom a zamestnávateľom, vzájomných práv, nárokov a povinností
účastníkov tejto dohody, ktoré im vznikli na základe pracovného pomeru.
Čl. III.
1. Dňa 28.1.2013 uzavrel zamestnanec so
zamestnávateľom pracovnú zmluvu, ktorá v celom rozsahu nahradila pracovnú
zmluvu uzavretú dňa 29.12.2004. Pracovný pomer je uzavretý na dobu neurčitú.
Druh práce bola určený ako referent IT a obslužných činností.
2. Zamestnanec sa domáha nároku na uzavretie dohody
o pracovnej pohotovosti a u zamestnávateľa si uplatnil nárok na
vyplatenie náhrady mzdy za neaktívnu časť pracovnej pohotovosti od vzniku
pracovného pomeru až do uzavretia dohody o pracovnej pohotovosti.
Čl. IV.
Sporné a pochybné
práva účastníkov tejto dohody t.j. právo zamestnanca
na uzavretie dohody o pracovnej pohotovosti a vyplatenie náhrady mzdy za
neaktívnu časť pracovnej pohotovosti za obdobie od začiatku pracovného pomeru
zamestnanca do dňa podpisu tejto dohody, ktoré sú predmetom uvedeného sporu ako
aj všetky ostatné práva, záväzky a povinnosti strán, sa v plnom
rozsahu nahrádzajú záväzkami a právami podľa čl. V tejto dohody.
Účastníci záväzne
prehlasujú, že splnením povinností uvedených v čl.V tejto
dohody sa ich vzájomné vzťahy, nároky a akékoľvek práva a povinnosti
vyplývajúce z pracovného pomeru medzi zamestnancom a zamestnávateľom budú
považovať za vzájomne vysporiadané s konečnou platnosťou.
Čl. V.
1)
Zamestnávateľ sa
zaväzuje mesačne uhrádzať zamestnancovi odmenu vo výške 140 eur za:
a.
obmedzenie
zamestnanca počas jeho pracovného voľna používaním služobného telefónu
v súvislosti s aktivovaním niektorého z alarmov u zamestnávateľa (najmä alarm na ochranu
objektu, alarm chladničiek, požiarny alarm);
b. povinnosť prísť na pracovisko, sprístupniť pracovisko
oprávneným osobám (najmä, nie však výlučne polícii) a/alebo zistiť
a odstrániť príčinu alarmu;
obe
bez ohľadu na počet týždenných služieb podľa rozpisu v príslušnom mesiaci.
Minimálny počet služieb pre vznik nároku zamestnanca v príslušnom
mesiaci je 1 týždeň. Odmenu bude
zamestnávateľ zamestnancovi hradiť odo
dňa 1.10.2015.
2)
Zamestnávateľ sa
zaväzuje vypracovať mesačný rozpis týždenných služieb, ktorým sa dohodne so
zamestnancom na dobe, počas ktorej je zamestnanec povinný používať služobný telefón v súvislosti
s aktivovaním niektorého z uvedených alarmov u zamestnávateľa
a prísť na pracovisko. Zamestnávateľ oboznámi zamestnanca s rozpisom
týždenných služieb minimálne jeden týždeň vopred.
3)
Zamestnávateľ
bude viesť evidenciu služieb podľa rozpisu a prípadné zmeny t.j. kto, kedy sa mal dostaviť na pracovisko,
a evidenciu reálneho výkonu práce zamestnanca.
4)
Zamestnanec sa zaväzuje podpísať Zmluvu poskytovaní mzdy,
ktorou sa mu zníži aktuálna mesačná mzda o 70 eur z dôvodu, že odmena
za obmedzenie zamestnanca počas jeho pracovného voľna používaním služobného
telefónu v súvislosti s aktivovaním niektorého z alarmov
u zamestnávateľa (najmä alarm na ochranu objektu, alarm chladničiek,
požiarny alarm), povinnosť prísť na pracovisko, sprístupniť pracovisko
oprávneným osobám (najmä, nie však výlučne polícii) a/alebo zistiť
a odstrániť príčinu alarmu a výkon práce na pracovisku, bude
dohodnutá osobitne.
5)
Zamestnanec sa zaväzuje podpísať Zmluvu poskytovaní mzdy,
ktorou sa mu zvýši mesačná mzda o 140 eur ako odmena za obmedzenie
zamestnanca počas jeho pracovného voľna používaním služobného telefónu
v súvislosti s aktivovaním niektorého z alarmov
u zamestnávateľa (najmä alarm na ochranu objektu, alarm chladničiek,
požiarny alarm) a povinnosť prísť na pracovisko, sprístupniť pracovisko
oprávneným osobám (najmä, nie však výlučne polícii) a/alebo zistiť
a odstrániť príčinu alarmu.
6)
Zamestnanec sa
zaväzuje podpísať dodatok k Pracovnej náplni zo dňa _______, ktorým
sa dopĺňa bod I. C. – Podľa rozpisu
služieb má v dohodnutej dobe zapnutý služobný telefón v súvislosti
s aktivovaním niektorého z alarmov v spoločnosti (najmä alarm na
ochranu objektu, alarm chladničiek, požiarny alarm).
7)
Zamestnanec je
povinný v dobe podľa rozpisu služieb používať služobný telefón
v súvislosti s aktivovaním niektorého z alarmov
u zamestnávateľa a prísť na pracovisko, sprístupniť pracovisko
oprávneným osobám (najmä, nie však výlučne polícii) a/alebo zistiť
a odstrániť príčinu alarmu. V prípade, že v danej dobe nemôže
z dôvodu lekárskeho ošetrenia, práceneschopnosti, používať služobný
telefón alebo prísť na pracovisko, je povinný oznámiť to bezodkladne
zamestnávateľovi písomne (mail, SMS) a ústne.
Čl. VI.
Ak niektorý
z účastníkov dohody nesplní riadne a včas povinnosti, ku ktorým sa
zaviazal v zmysle tejto dohody, je povinný uhradiť druhému účastníkovi
zmluvnú pokutu vo výške 1.000 eur. Zaplatením zmluvnej pokuty nie je dotknutý
nárok poškodenej strany na náhradu škody, ktorá jej v dôsledku nesplnenia
povinností druhej zmluvnej strany vznikla.
Čl. VII.
Účastníci vyhlasujú, že sú spôsobilí na uzavretie tejto
dohody, že ju uzavreli na základe svojej slobodnej a vážnej vôle, že táto
dohoda nebola uzavretá pod nátlakom, v tiesni ani za inak nevýhodných
podmienok. Ďalej vyhlasujú, že si text
tejto dohody pozorne prečítali, porozumeli mu a na znak súhlasu s obsahom
dohodu vlastnoručne podpisujú.
Účastníci tejto dohody
vyhlasujú, že v prípade, ak by túto dohodu nepodpísala niektorá zo strán,
tak vyhlásenia uskutočnené v návrhu tejto dohody o urovnaní sa budú
považovať za bezpredmetné.
Táto dohoda nadobúda
platnosť a účinnosť dňom jej podpisu oboma účastníkmi dohody.
Dohoda sa vyhotovuje
v dvoch rovnopisoch, z ktorých každý účastník dohody obdrží jedno
vyhotovenie.
V Nitre, _____________ V Nitre,
_________________
____________________________
_____________________________
zamestnanec
za zamestnávateľa
Prvá kontrola Inšpektorátu práce
je tam označené klamstvo Kviatkovského
ml. a všimnite si ako dobre si pamätá § 96 zákonníka práce, ktorý je
uvedený aj v Zázname zo stretnutia právnikov, ktoré si ale ako na potvoru nepamätal.
Prečo tento veriaci oklamal Inšpektorát práce? Nespomínam si, že by
v desatore bolo uvedené oklameš, podvedieš či okradneš, ale možno sa
mýlim, alebo chodím do špatného kostola?




Druhá kontrola Inšpektorátu práce
toto ani komentár nepotrebuje
schválne koľko je tam, nevyhotovil, neviedol, neposkytol, porušenie






Ďakujem, že si to dočítal/a až do konca